G=-Rtlnk What Is K - Solving Problems Using Relationship Dg Nfe Cell Rt Ln Keq Youtube : Δg° is related to k by the equation δg° = − rtlnk.

G=-Rtlnk What Is K - Solving Problems Using Relationship Dg Nfe Cell Rt Ln Keq Youtube : Δg° is related to k by the equation δg° = − rtlnk.. This video took me weeks to do, calling friends and reading the text book i used as a kid. Since at equlibrium condition, k=q (q is the reaction quotient), and deltag=0, we can put all of these numbers into the formula delta g = delta g ° + rt lnq and get the following: What is t measured in? Is delta enthalpy zero for. For gnot, you are in standard conditions so atmospheric pressure is 1atm, temperature is 25c, and most importantly, all solute species are at 1m.

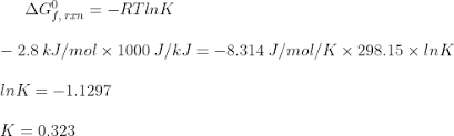
Calculating an equilibrium constant from the free energy change. Δ h is in the units of joules (j). B what is the value of k eq for the reaction above g rtlnk eq 172 kj mol 1 8314 from bio 3361 at university of texas, dallas The temperature of reaction can have a strong effect on the position of the equilibrium. Δg° is related to k by the equation δg° = − rtlnk.

Thermodynamics The Branch Of Science That Deals With Energy Levels And The Transfer Of Energy Between Systems And Between Different States Of Matter Ppt Download
Thermodynamics The Branch Of Science That Deals With Energy Levels And The Transfer Of Energy Between Systems And Between Different States Of Matter Ppt Download from images.slideplayer.com
This relationship allows us to relate the standard free energy change to the equilibrium constant. When delta g is equal to zero and k is around one, the reaction is at equilibrium. It is important not to confuse the equilibrium constant with a rate constant of reaction, since they can both be represented by the letter k. In this equation, q is the reaction quotient and is defined the same manner as kk except that the concentrations or pressures used are not necessarily the equilibrium values. K is the equilibrium constant, meaning it is products divided by reactants when a reaction is at equilibrium. The greater the e° cell of a reaction the greater the driving force of electrons through the system, the more likely the reaction will proceed (more spontaneous). It also tells us about the extent of the reaction. Free energy and equilibrium constants g = free energy at any moment.

I think i might be mixing up keq and k.

A spontaneous reaction has a negative delta g and a large k value. Enthalpy formula h of products minus h of reactants. `deltag^o` is the gibbs free energy. When delta g is equal to zero and k is around one, the reaction is at equilibrium. If δg° > 0, then k < 1, and reactants are favored over products at equilibrium. If we know the standard state free energy change, g o, for a chemical process at some temperature t, we can calculate the equilibrium constant for the process at that temperature using the relationship between g o and k. When k is less than 1, reactants are more favored in the reaction than products. This relationship allows us to relate the standard free energy change to the equilibrium constant. Both k and δg° can be used to predict the ratio of products to reactants at equilibrium for a given reaction. Post by chem_mod » sun oct 30, 2011 1:01 am k is the equilibrium constant, meaning it is products divided by reactants when a reaction is at equilibrium. Δg° is related to k by the equation δg° = − rtlnk. For example, the concentration of d is raised to the power of 3 since it is 3d in the balanced reaction (eq. Is delta enthalpy zero for.

This relationship allows us to relate the standard free energy change to the equilibrium constant. When k is less than 1, reactants are more favored in the reaction than products. I think i might be mixing up keq and k. This video took me weeks to do, calling friends and reading the text book i used as a kid. Note that this relationship does not give any information about the rate of reaction, since that is dependant on the height of the energy barrier of reaction (the.

16 4 Gibbs Energy Chemistry Libretexts
16 4 Gibbs Energy Chemistry Libretexts from chem.libretexts.org
B what is the value of k eq for the reaction above g rtlnk eq 172 kj mol 1 8314 from bio 3361 at university of texas, dallas This relationship allows us to relate the standard free energy change to the equilibrium constant. Note that this relationship does not give any information about the rate of reaction, since that is dependant on the height of the energy barrier of reaction (the. However, again because all of these are linked to chemistry and because chemistry likes to measure everything per mole all of the variables above but temperature may also have attached to them per mole ( /mol). If we know the standard state free energy change, g o, for a chemical process at some temperature t, we can calculate the equilibrium constant for the process at that temperature using the relationship between g o and k. What is t measured in? Exceptional quality from source to cup. Delta g and delta gnot are really one of the same things:

Free energy and equilibrium constants g = free energy at any moment.

Δ g is in the units joules (j). Delta g and delta gnot are really one of the same things: Ln k (that is a letter l, not a letter i) is the natural logarithm of the equilibrium constant k. If δg° < 0, then k > 1, and products are favored over reactants at equilibrium. Enthalpy formula h of products minus h of reactants. The free energy change for a process may be viewed as a measure of its driving force. This relationship allows us to relate the standard free energy change to the equilibrium constant. Free energy and equilibrium constants g = free energy at any moment. Is delta enthalpy zero for. What is t measured in? When delta g is equal to zero and k is around one, the reaction is at equilibrium. E° cell is measured in volts (v). Is positive or negative g thermodynamically favored?

Notice how each concentration of product or reactant is raised to the power of its coefficient. T is in the units of kelvin (k). Δ g is in the units joules (j). 1 problem problem3 problem 4 problem 7 problem 8 problem 10 11 problem 13, 16 problem 17 problem 18 problem 20&22 problem 45b! This relationship allows us to relate the standard free energy change to the equilibrium constant.

Calculating The Equilibrium Constant From The Standard Cell Potential Video Khan Academy
Calculating The Equilibrium Constant From The Standard Cell Potential Video Khan Academy from cdn.kastatic.org
Δ g is in the units joules (j). If we know the standard state free energy change, g o, for a chemical process at some temperature t, we can calculate the equilibrium constant for the process at that temperature using the relationship between g o and k. Post by chem_mod » sun oct 30, 2011 1:01 am k is the equilibrium constant, meaning it is products divided by reactants when a reaction is at equilibrium. My initial post had that relationship but i've now double checked and realize my two sources use the same relationships, but one does it with reference to k and delta g, and one does it for keq and delta g. The greater the e° cell of a reaction the greater the driving force of electrons through the system, the more likely the reaction will proceed (more spontaneous). However, again because all of these are linked to chemistry and because chemistry likes to measure everything per mole all of the variables above but temperature may also have attached to them per mole ( /mol). Calculating an equilibrium constant from the free energy change. Ln k (that is a letter l, not a letter i) is the natural logarithm of the equilibrium constant k.

The rate constant k is a quantity that students love to confuse with the equilibrium constant k.

It is important not to confuse the equilibrium constant with a rate constant of reaction, since they can both be represented by the letter k. Note that this relationship does not give any information about the rate of reaction, since that is dependant on the height of the energy barrier of reaction (the. Is delta enthalpy zero for. I think i might be mixing up keq and k. When we have an equilibrium expression involving gases, we use the partial pressures of the gas to describe k. This relationship allows us to relate the standard free energy change to the equilibrium constant. Calculating an equilibrium constant from the free energy change. This relationship allows us to relate the standard free energy change to the equilibrium constant. E° cell is measured in volts (v). However, if q < k, the process will proceed in the reverse direction until equilibrium is achieved. Notice how each concentration of product or reactant is raised to the power of its coefficient. Delta g and delta gnot are really one of the same things: However, again because all of these are linked to chemistry and because chemistry likes to measure everything per mole all of the variables above but temperature may also have attached to them per mole ( /mol).

Δg° is related to k by the equation δg° = − rtlnk g=-rtlnk. The greater the e° cell of a reaction the greater the driving force of electrons through the system, the more likely the reaction will proceed (more spontaneous).

Comments